Turanose photograph

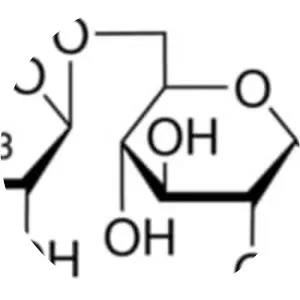
Turanose

Use attributes for filter !
FormulaC12H22O11
Molar mass342. 3 g/mol
ChemSpider ID190428
PubChem CID5460935
Date of Reg.
Date of Upd.
ID2947210
Send edit request

Related searches

turanose crystallizationmaltuloseleucrosemelezitosesucrosekojibiosesophorosemaltose

About Turanose


Turanose is a reducing disaccharide. The d-isomer is naturally occurring. Its systematic name is α-d-glucopyranosyl--α-d-fructofuranose. It is an analog of sucrose not metabolized by higher plants, but rather acquired through the action of sucrose transporters for intracellular carbohydrate signaling.

Related Persons

Next Profile ❯