Gentiobiose photograph

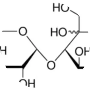
Gentiobiose

Use attributes for filter !
FormulaC12H22O11
Molar mass342. 3 g/mol
ChemSpider ID390156
Classification Disaccharide
PubChem CID441422
Melting point190 to 195 °C (374 to 383 °F; 463 to 468 K)
Date of Reg.
Date of Upd.
ID2947288
Send edit request

Related searches

gentiobiose hydrolysisgentiobiose reducing sugargentiobiose monosaccharidegentiobiose hydrolysis productsgentiobiose pronunciationgentiobiose mutarotationcellobiosesophorose

About Gentiobiose


Gentiobiose is a disaccharide composed of two units of D-glucose joined with a β linkage. It is a white crystalline solid that is soluble in water or hot methanol. Gentiobiose is incorporated into the chemical structure of crocin, the chemical compound that gives saffron its color.

Related Persons

Next Profile ❯