Cellobiose photograph

Cellobiose

Use attributes for filter !
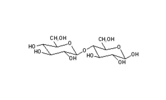
FormulaC12H22O11
Molar mass342. 3 g/mol
Acidity (pKa)12. 39
Solubility in water12 g/100mL
Solubility alcohol
ether
chloroform
Melting point203. 5 °C (398. 3 °F; 476. 6 K) (decomposes)
Date of Reg.
Date of Upd.
ID2159786
Send edit request

About Cellobiose


Cellobiose is a disaccharide with the formula C₁₂H₂₂O₁₁. Cellobiose, a reducing sugar, consists of two β-glucose molecules linked by a β bond. It can be hydrolyzed to glucose enzymatically or with acid.

Cellobiose Photos

Related Persons

Next Profile ❯