Isomaltose photograph

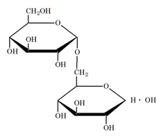
Isomaltose

Use attributes for filter !
FormulaC12H22O11
Molar mass342. 2965 g/mol
Boiling point102 °C
ChemSpider ID9930
Classification Reducing sugar
PubChem CID439193
Date of Reg.
Date of Upd.
ID2159816
Send edit request

About Isomaltose


Isomaltose is a disaccharide similar to maltose, but with a α--linkage instead of the α--linkage. Both of the sugars are glucose, which is a pyranose sugar. Isomaltose is a reducing sugar.

Isomaltose Photos

Related Persons

Next Profile ❯