Glycogen photograph

Glycogen

Use attributes for filter !
Formula(C6H10O5)n
Molar mass666. 5777 g/mol
ChemSpider ID388322
Date of Reg.
Date of Upd.
ID1393319
Send edit request

About Glycogen


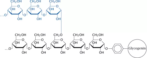
Glycogen is a multibranched polysaccharide of glucose that serves as a form of energy storage in animals, fungi, and bacteria. The polysaccharide structure represents the main storage form of glucose in the body.

Glycogen Photos

Related Persons

Next Profile ❯