Ribose photograph

Ribose

Use attributes for filter !
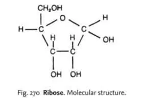
FormulaC5H10O5
Molar mass150. 13 g/mol
IUPAC IDD-Ribose
Chiral rotation (D)−21. 5° (H2O)
Related aldopentoses Arabinose
Xylose
Lyxose
3D model (JSmol)aldehydo form D-(−)-Ribose: Interactive image
Date of Reg.
Date of Upd.
ID1171024
Send edit request

About Ribose


Ribose is a carbohydrate with the formula C₅H₁₀O₅; specifically, it is a pentose monosaccharide with linear form H−−(CHOH)₄−H, which has all the hydroxyl groups on the same side in the Fischer projection. The term may refer to either of two enantiomers.

Ribose Photos

Related Persons

Next Profile ❯