Amylopectin photograph

Amylopectin

Use attributes for filter !
Formula(C6H10O5)n
ChemSpider ID388347
Solubility in waterSoluble
Molar mass Variable
Classification Polysaccharide
AppearanceWhite powder
Date of Reg.
Date of Upd.
ID2159756
Send edit request

About Amylopectin


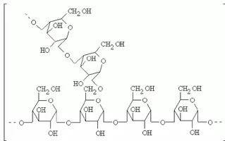
Amylopectin is a water-soluble polysaccharide and highly branched polymer of α-glucose units found in plants. It is one of the two components of starch, the other being amylose. Glucose units are linked in a linear way with α glycosidic bonds.

Amylopectin Photos

Related Persons

Next Profile ❯