Cardiolipin photograph

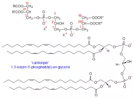
Cardiolipin

Use attributes for filter !
Molar mass1,466. 059 g/mol
Molecular FormulaC81H158O17P2
StructureFind Similar Structures
PubChem CID449005
Date of Reg.
Date of Upd.
ID911409
Send edit request

About Cardiolipin


Cardiolipin is an important component of the inner mitochondrial membrane, where it constitutes about 20% of the total lipid composition. It can also be found in the membranes of most bacteria. The name 'cardiolipin' is derived from the fact that it was first found in animal hearts.

Cardiolipin Photos

Related Persons

Next Profile ❯