Ether lipid photograph

Ether Lipid

Use attributes for filter !
Date of Reg.
Date of Upd.
ID1130107
Send edit request

About Ether Lipid


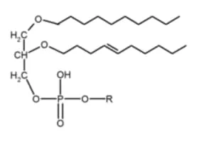
In an organic chemistry general sense, an ether lipid implies an ether bridge between an alkyl group and an unspecified alkyl or aryl group, not necessarily glycerol.

Ether lipid Photos

Related Persons

Next Profile ❯