Ganglioside photograph

Ganglioside

Use attributes for filter !
Date of Reg.
Date of Upd.
ID1130094
Send edit request

About Ganglioside


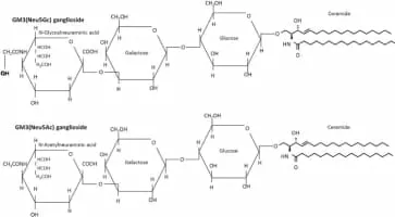
A ganglioside is a molecule composed of a glycosphingolipid with one or more sialic acids linked on the sugar chain. NeuNAc, an acetylated derivative of the carbohydrate sialic acid, makes the head groups of gangliosides anionic at pH 7, which distinguishes them from globosides.

Ganglioside Photos

Related Persons

Next Profile ❯