Sphingomyelin photograph

Sphingomyelin

Use attributes for filter !
Date of Reg.
Date of Upd.
ID911414
Send edit request

About Sphingomyelin


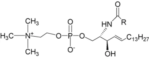
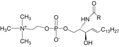
Sphingomyelin is a type of sphingolipid found in animal cell membranes, especially in the membranous myelin sheath that surrounds some nerve cell axons. It usually consists of phosphocholine and ceramide, or a phosphoethanolamine head group; therefore, sphingomyelins can also be classified as sphingophospholipids.

Sphingomyelin Photos

Related Persons

Next Profile ❯