Polysaccharide photograph

Polysaccharide

Use attributes for filter !
Date of Reg.
Date of Upd.
ID1130099
Send edit request

About Polysaccharide


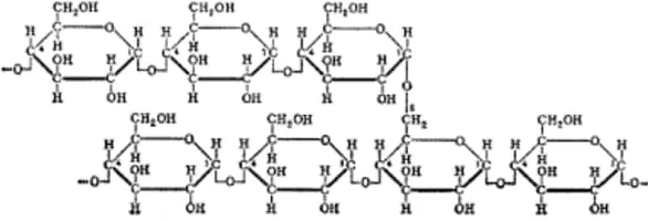
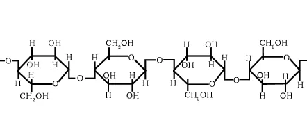
Polysaccharides are polymeric carbohydrate molecules composed of long chains of monosaccharide units bound together by glycosidic linkages, and on hydrolysis give the constituent monosaccharides or oligosaccharides. They range in structure from linear to highly branched.

Polysaccharide Photos

Related Persons

Next Profile ❯