Thiamine pyrophosphate photograph

Thiamine Pyrophosphate

Use attributes for filter !
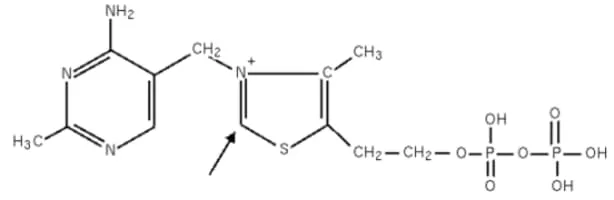
FormulaC12H19N4O7P2S+
Molar mass425. 3144 g/mol
ChemSpider ID1100
PubChem CID1132
Date of Reg.
Date of Upd.
ID996591
Send edit request

About Thiamine Pyrophosphate


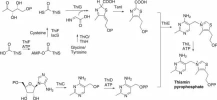
Thiamine pyrophosphate, or thiamine diphosphate, or cocarboxylase is a thiamine derivative which is produced by the enzyme thiamine diphosphokinase. Thiamine pyrophosphate is a cofactor that is present in all living systems, in which it catalyzes several biochemical reactions.

Thiamine pyrophosphate Photos

Related Persons

Next Profile ❯