Pyruvic acid photograph

Pyruvic Acid

Use attributes for filter !
FormulaC3H4O3
Molar mass88. 06 g/mol
IUPAC ID2-oxopropanoic acid
Density1. 25 g/cm³
Related keto-acids, carboxylic acids glyoxylic acid
oxalic acid
propionic acid
acetoacetic acid
Acidity (pKa)2. 50
Date of Reg.
Date of Upd.
ID1230044
Send edit request

About Pyruvic Acid


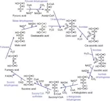
Pyruvic acid is the simplest of the alpha-keto acids, with a carboxylic acid and a ketone functional group. Pyruvate, the conjugate base, CH₃COCOO⁻, is a key intermediate in several metabolic pathways throughout the cell.

Pyruvic acid Photos

Related Persons

Next Profile ❯