Flavin adenine dinucleotide photograph

Flavin Adenine Dinucleotide

Use attributes for filter !
FormulaC27H33P2N9O15
Molar mass785. 5497 g/mol
Acidity (pKa)1. 128
Basicity (pKb)12. 8689
Log P-1. 336
AppearanceWhite, vitreous crystals
Date of Reg.
Date of Upd.
ID1077875
Send edit request

About Flavin Adenine Dinucleotide


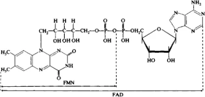
In biochemistry, flavin adenine dinucleotide is a redox-active coenzyme associated with various proteins, which is involved with several important enzymatic reactions in metabolism. A flavoprotein is a protein that contains a flavin group, this may be in the form of FAD or flavin mononucleotide.

Flavin adenine dinucleotide Photos

Related Persons

Next Profile ❯