Glycosphingolipid photograph

Glycosphingolipid

Use attributes for filter !
Date of Reg.
Date of Upd.
ID1130106
Send edit request

About Glycosphingolipid


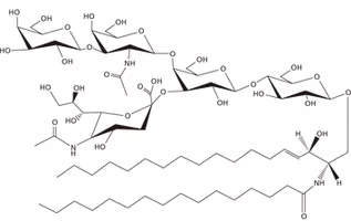
Glycosphingolipids are a subtype of glycolipids containing the amino alcohol sphingosine. They may be considered as sphingolipids with an attached carbohydrate. Glycosphingolipids are a group of lipids and are a part of the cell membrane.

Glycosphingolipid Photos

Related Persons

Next Profile ❯