Hexokinase photograph

Hexokinase

Use attributes for filter !
ClassificationEnzyme
Date of Reg.
Date of Upd.
ID2238635
Send edit request

About Hexokinase


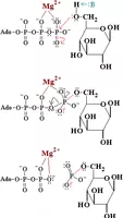
A hexokinase is an enzyme that phosphorylates hexoses, forming hexose phosphate. In most organisms, glucose is the most important substrate of hexokinases, and glucose-6-phosphate is the most important product. Hexokinase possesses the ability to transfer an inorganic phosphate group from ATP to a substrate.

Hexokinase Photos

Related Persons

Next Profile ❯