Thiadiazoles photograph

Thiadiazoles

Use attributes for filter !
Date of Reg.
Date of Upd.
ID2330422
Send edit request

About Thiadiazoles


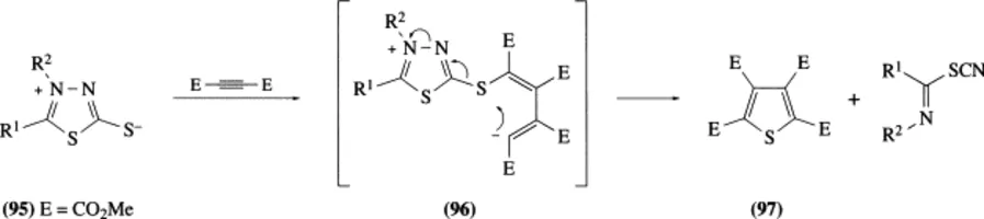
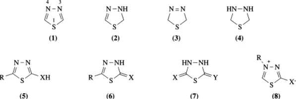
In chemistry thiadiazoles are a sub-family of azole compounds. Structurally they are five-membered heterocyclic compounds containing two nitrogen and a sulfur atoms, and two double bonds, to give an aromatic ring; with the name thiadiazole originating from the Hantzsch–Widman nomenclature.

Thiadiazoles Photos

Related Persons

Next Profile ❯