Pyrazole photograph

Pyrazole

Use attributes for filter !
FormulaC3H4N2
Molar mass68. 079 g·mol−1
Melting point66 to 70 °C (151 to 158 °F; 339 to 343 K)
Basicity (pKb) 11. 5
Boiling point186 to 188 °C (367 to 370 °F; 459 to 461 K)
PubChem CID1048
Date of Reg.
Date of Upd.
ID911498
Send edit request

About Pyrazole


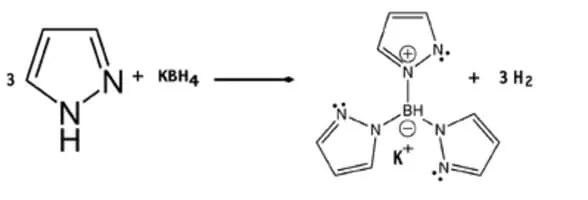
Pyrazole is an organic compound with the formula C₃H₃N₂H. It is a heterocycle characterized by a 5-membered ring of three carbon atoms and two adjacent nitrogen atoms. Pyrazole is a weak base, with pKb 11. 5. Pyrazoles are also a class of compounds that have the ring C₃N₂ with adjacent nitrogen atoms.

Pyrazole Photos

Related Persons

Next Profile ❯