Polyimide photograph

Polyimide

Use attributes for filter !
Date of Reg.
Date of Upd.
ID1189201
Send edit request

About Polyimide


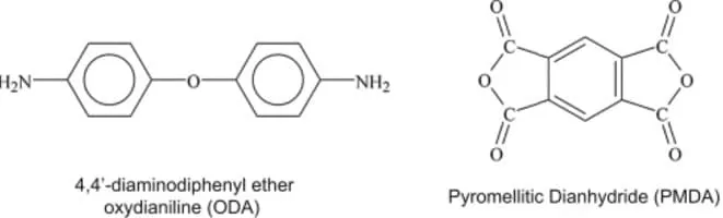
Polyimide is a polymer of imide monomers. Polyimides have been in mass production since 1955. With their high heat-resistance, polyimides enjoy diverse applications in roles demanding rugged organic materials, e. g. high temperature fuel cells, displays, and various military roles.

Polyimide Photos

Related Persons

Next Profile ❯