Polyetherimide photograph

Polyetherimide

Use attributes for filter !
Density1. 27 g/cm³
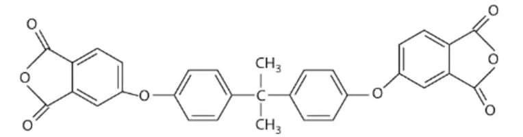
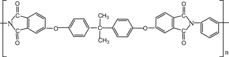
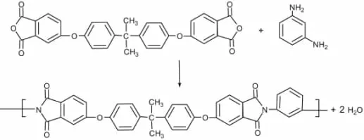
Formula(C37H24O6N2)n
Classification Thermoplastic
AppearanceAmber-to-transparent solid
Molar mass Variable
Date of Reg.
Date of Upd.
ID2392407
Send edit request

About Polyetherimide


Polyetherimide is an amorphous, amber-to-transparent thermoplastic with characteristics similar to the related plastic PEEK. Relative to PEEK, PEI is cheaper, but is lower in impact strength and usable temperature.

Polyetherimide Photos

Related Persons

Next Profile ❯