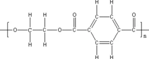
Polyethylene Terephthalate
| Use attributes for filter ! | |
| Melting point | 260 °C |
|---|---|
| Formula | (C10H8O4)n |
| Density | 1. 38 g/cm³ |
| Molar mass | variable |
| Solubility in water | practically insoluble |
| Thermal conductivity | 0. 15 to 0. 24 W m−1 K−1 |
| Date of Reg. | |
| Date of Upd. | |
| ID | 961499 |
About Polyethylene Terephthalate
Polyethylene terephthalate, commonly abbreviated PET, PETE, or the obsolete PETP or PET-P, is the most common thermoplastic polymer resin of the polyester family and is used in fibres for clothing, . . .
Lego axes plan to make bricks from recycled bottles
Sep 25,2023 5:41 am
... In 2021, it said it has developed prototype bricks made from Polyethylene Terephthalate (PET) bottles, with some other chemicals added...
Bottled water booming despite worries over waste
Feb 15,2023 10:01 pm
... The industry counters that today s bottles, made from Polyethylene Terephthalate (PET), And increasingly they are made from already recycled PET in the first place...
Celebrating new ways of reducing CO2 - the art of cutting carbon
Jul 27,2022 4:20 am
... But in the Netherlands a bio-chemical firm Avantium is claiming a world first - a plant-based plastic to rival PET, (Polyethylene Terephthalate) which is used to make most drinks bottles...
To stop Waitrose and John Lewis putting plastic toys in Christmas crackers
Feb 16,2020 7:21 am
......