Polybutylene terephthalate photograph

Polybutylene Terephthalate

Use attributes for filter !
Formula n
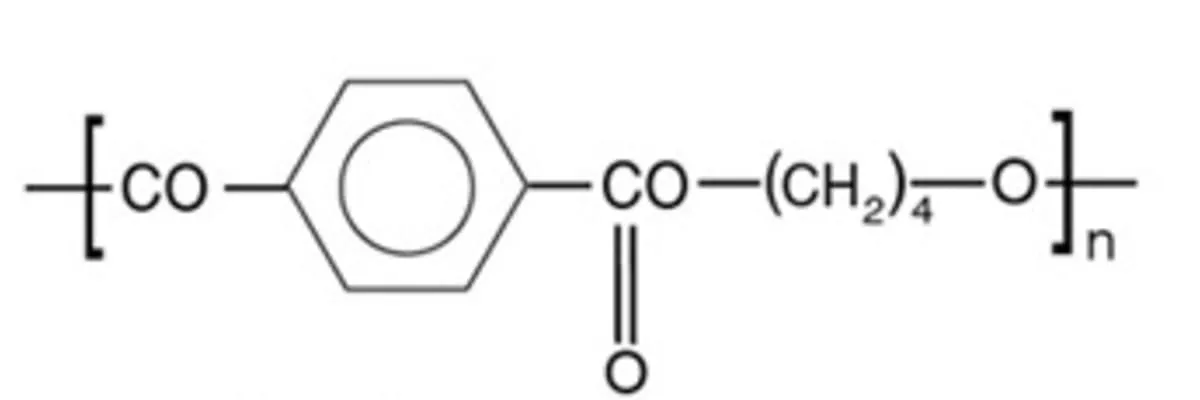
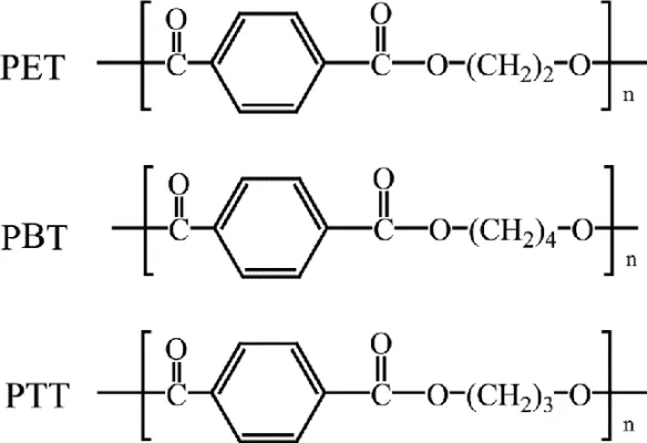
IUPAC IDPoly(oxy-1,4-butanediyloxycarbonyl-1,4-phenylenecarbonyl)
Melting point223 °C
Iupac id Poly
Okra answer panel glass transition temperatureGlass transition temperature
Okra answer panel cas numberCas number
Okra answer panel thermal conductivityThermal conductivity
Okra answer panel solubilitySolubility
Date of Reg.
Date of Upd.
ID1189123
Send edit request

Related searches

polybutylene terephthalate toxicitypolybutylene terephthalate usespolybutylene terephthalate productionpolybutylene terephthalate polyesterpolybutylene terephthalate fabricpolybutylene terephthalate fiberpbt plasticpolybutylene terephthalate hs code

About Polybutylene Terephthalate


Polybutylene terephthalate is a thermoplastic engineering polymer that is used as an insulator in the electrical and electronics industries. It is a thermoplastic crystalline polymer, and a type of polyester.

Polybutylene terephthalate Photos

Related Persons

Next Profile ❯