Flavoprotein photograph

Flavoprotein

Use attributes for filter !
Date of Reg.
Date of Upd.
ID2300737
Send edit request

About Flavoprotein


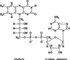
Flavoproteins are proteins that contain a nucleic acid derivative of riboflavin: the flavin adenine dinucleotide or flavin mononucleotide. Flavoproteins are involved in a wide array of biological processes, including removal of radicals contributing to oxidative stress, photosynthesis, and DNA repair.

Flavoprotein Photos

Related Persons

Next Profile ❯