alpha-Pinene photograph

Alpha-Pinene

Use attributes for filter !
Molar mass136. 23 g/mol
Density858 kg/m³
Solubility in acetic acidMiscible
Chiral rotation (D)−50. 7° (1S,5S-Pinene)
Solubility in acetoneMiscible
R-phrases (outdated)R20
Date of Reg.
Date of Upd.
ID1130245
Send edit request

About Alpha-Pinene


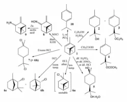
α-Pinene is an organic compound of the terpene class, one of two isomers of pinene. It is an alkene and it contains a reactive four-membered ring. It is found in the oils of many species of many coniferous trees, notably the pine. It is also found in the essential oil of rosemary and Satureja myrtifolia.

alpha-Pinene Photos

Related Persons

Next Profile ❯