Citral photograph

Citral

Use attributes for filter !
FormulaC10H16O
Molar mass152. 24 g/mol
Boiling point229 °C
Density893 kg/m³
R-phrases (outdated)R36
R37
R38
OdorLemon like
Date of Reg.
Date of Upd.
ID1130256
Send edit request

About Citral


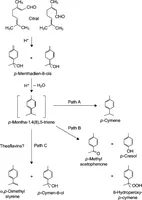
Citral, or 3,7-dimethyl-2,6-octadienal or lemonal, is either a pair, or a mixture of terpenoids with the molecular formula C₁₀H₁₆O. The two compounds are double bond isomers. The E-isomer is known as geranial or citral A. The Z-isomer is known as neral or citral B.

Citral Photos

Related Persons

Next Profile ❯