Acrylonitrile butadiene styrene photograph

Acrylonitrile Butadiene Styrene

Use attributes for filter !
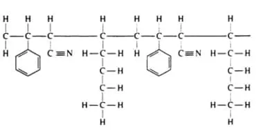
Formula(C8H8·C4H6·C3H3N)n
Density1. 060–1. 080 g·cm−3
Solubility in waterInsoluble in water
PubChem CID24756
Date of Reg.
Date of Upd.
ID961581
Send edit request

About Acrylonitrile Butadiene Styrene


Acrylonitrile butadiene styrene is a common thermoplastic polymer. Its glass transition temperature is approximately 105 °C. ABS is amorphous and therefore has no true melting point. ABS is a terpolymer made by polymerizing styrene and acrylonitrile in the presence of polybutadiene.

Acrylonitrile butadiene styrene Photos

Related Persons

Next Profile ❯