Acesulfame potassium photograph

Acesulfame Potassium

Use attributes for filter !
FormulaC4H4KNO4S
IUPAC IDpotassium 6-methyl-2,2-dioxo-2H-1,2λ6,3-oxathiazin-4-olate
Molar mass201. 242 g/mol
Melting point225 °C
Soluble in Water
NFPA 704 (fire diamond)1 1 0
Date of Reg.
Date of Upd.
ID2141443
Send edit request

About Acesulfame Potassium


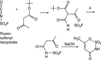
Acesulfame potassium, also known as acesulfame K or Ace K, is a calorie-free sugar substitute often marketed under the trade names Sunett and Sweet One. In the European Union, it is known under the E number E950. It was discovered accidentally in 1967 by German chemist Karl Clauss at Hoechst AG.

Acesulfame potassium Photos

Related Persons

Next Profile ❯