Polydextrose photograph

Polydextrose

Use attributes for filter !
Date of Reg.
Date of Upd.
ID2409864
Send edit request

About Polydextrose


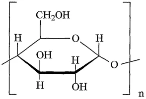
Polydextrose is a synthetic polymer of glucose. It is a food ingredient classified as soluble fiber by the U. S. Food and Drug Administration as well as Health Canada, as of April 2013. It is frequently used to increase the dietary fiber content of food, to replace sugar, and to reduce calories and fat content.

Polydextrose Photos

Related Persons

Next Profile ❯