Tyrosinase photograph

Tyrosinase

Use attributes for filter !
ClassificationEnzyme
Date of Reg.
Date of Upd.
ID2252461
Send edit request

About Tyrosinase


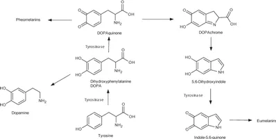
Tyrosinase is an oxidase that is the rate-limiting enzyme for controlling the production of melanin. The enzyme is mainly involved in two distinct reactions of melanin synthesis; firstly, the hydroxylation of a monophenol and secondly, the conversion of an o-diphenol to the corresponding o-quinone.

Tyrosinase Photos

Related Persons

Next Profile ❯