Tollens' reagent photograph

Tollens' Reagent

Use attributes for filter !
Date of Reg.
Date of Upd.
ID1239156
Send edit request

About Tollens' Reagent


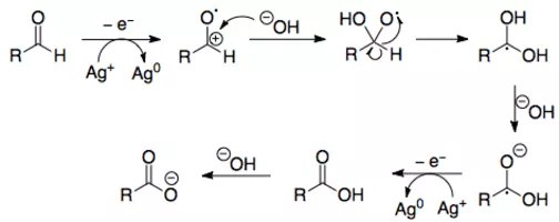
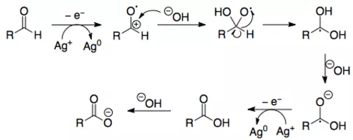
Tollens' Reagent is a chemical reagent used to determine the presence of aldehyde, aromatic aldehyde, and alpha-hydroxy ketone functional groups. The reagent consists of a solution of silver nitrate, ammonia and some sodium hydroxide. It was named after its discoverer, the German chemist Bernhard Tollens.

Tollens' reagent Photos

Related Persons

Next Profile ❯