Terpinene photograph

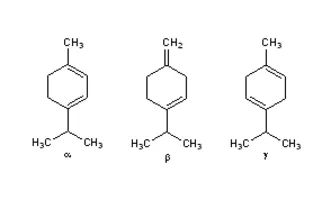
Terpinene

Use attributes for filter !
Molar mass136. 23 g/mol
FormulaC10H16
Boiling pointα: 173. 5-174. 8 °C; β: 173-174 °C; γ: 183 °C
Densityα: 0. 8375 g/cm3; β: 0. 838 g/cm3; γ: 0. 853 g/cm3
Melting pointα: 60-61 °C
ClassificationHydrocarbon
Date of Reg.
Date of Upd.
ID1130241
Send edit request

About Terpinene


The terpinenes are a group of isomeric hydrocarbons that are classified as monoterpenes. They each have the same molecular formula and carbon framework, but they differ in the position of carbon-carbon double bonds. α-Terpinene has been isolated from cardamom and marjoram oils, and from other natural sources.

Terpinene Photos

Related Persons

Next Profile ❯