Selenium dioxide photograph

Selenium Dioxide

Use attributes for filter !
Molar mass110. 96 g/mol
Formula SeO2
Boiling point315 °C
Density3. 95 g/cm³
ChemSpider ID22440
Date of Reg.
Date of Upd.
ID1087192
Send edit request

About Selenium Dioxide


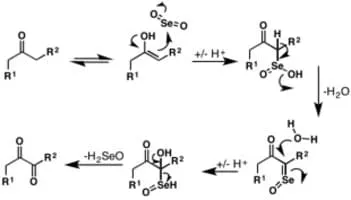
Selenium dioxide is the chemical compound with the formula SeO₂. This colorless solid is one of the most frequently encountered compounds of selenium.

Selenium dioxide Photos

Related Persons

Next Profile ❯