Quinolinic acid photograph

Quinolinic Acid

Use attributes for filter !
Molar mass167. 12 g/mol
FormulaC7H5NO4
ChemSpider ID1037
PubChem CID1066
Melting point185 to 190 °C (365 to 374 °F; 458 to 463 K) (decomposes)
Date of Reg.
Date of Upd.
ID2013672
Send edit request

About Quinolinic Acid


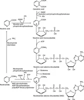
Quinolinic acid, also known as pyridine-2,3-dicarboxylic acid, is a dicarboxylic acid with a pyridine backbone. It is a colorless solid. It is the biosynthetic precursor to nicotine. Quinolinic acid is a downstream product of the kynurenine pathway, which metabolizes the amino acid tryptophan.

Quinolinic acid Photos

Related Persons

Next Profile ❯