Polyamine photograph

Polyamine

Use attributes for filter !
Date of Reg.
Date of Upd.
ID1229961
Send edit request

About Polyamine


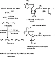
A polyamine is an organic compound having more than two amino groups. Alkyl polyamines occur naturally but are also synthetic. Alkylpolyamines are colorless, hygroscopic, and water soluble. Near neutral pH, they exist as the ammonium derivatives. Most aromatic polyamines are crystalline solids at room temperature.

Polyamine Photos

Related Persons

Next Profile ❯