Oxime photograph

Oxime

Use attributes for filter !
Date of Reg.
Date of Upd.
ID1654416
Send edit request

About Oxime


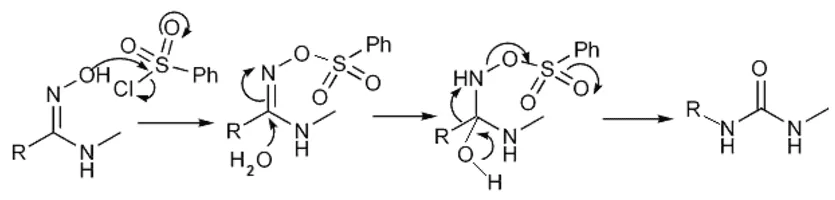
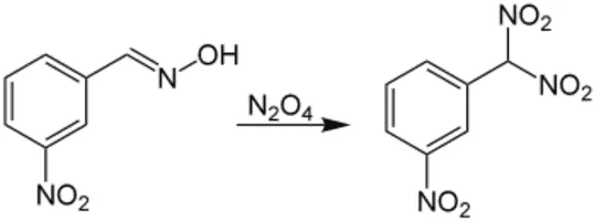
An oxime is a chemical compound belonging to the imines, with the general formula RR'C=NOH, where R is an organic side-chain and R' may be hydrogen, forming an aldoxime, or another organic group, forming a ketoxime. O-substituted oximes form a closely related family of compounds.

Oxime Photos

Related Persons

Next Profile ❯