Oxadiazole photograph

Oxadiazole

Use attributes for filter !
Date of Reg.
Date of Upd.
ID1135537
Send edit request

About Oxadiazole


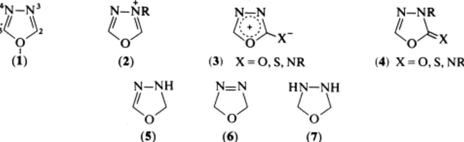
Oxadiazoles are a class of heterocyclic aromatic chemical compound of the azole family; with the molecular formula C₂H₂N₂O.

Oxadiazole Photos

Related Persons

Next Profile ❯