nth root photograph

Nth Root

Use attributes for filter !
Date of Reg.
Date of Upd.
ID1644127
Send edit request

About Nth Root


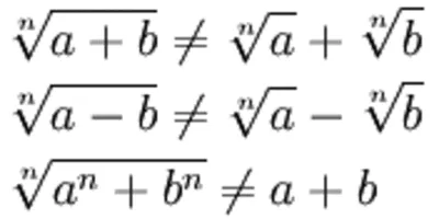
In mathematics, an nth root of a number x, where n is usually assumed to be a positive integer, is a number r which, when raised to the power n yields x: where n is the degree of the root. A root of degree 2 is called a square root and a root of degree 3, a cube root.

nth root Photos

Related Persons

Next Profile ❯