Nivalenol photograph

Nivalenol

Use attributes for filter !
FormulaC15H20O7
ChemSpider ID389738
PubChem CID5284433
Chemical SafetyLaboratory Chemical Safety Summary (LCSS) Datasheet
Molecular Weight312. 31 g/mol
Date of Reg.
Date of Upd.
ID2421233
Send edit request

About Nivalenol


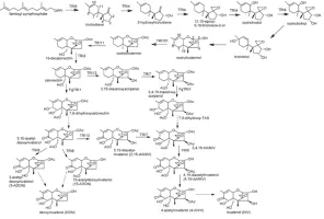
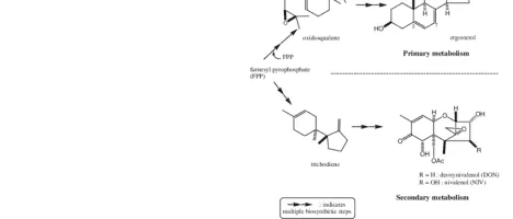
Nivalenol is a mycotoxin of the trichothecene group. In nature it is mainly found in fungi of the Fusarium species.

Nivalenol Photos

Related Persons

Next Profile ❯