Nitrocellulose photograph

Nitrocellulose

Use attributes for filter !
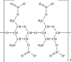
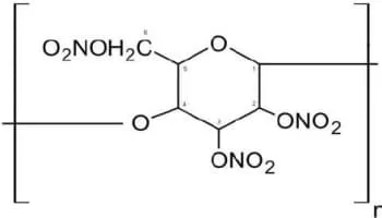
Formula[C6H7(NO2)3O5]n
Melting point160 °C
Flash point4. 4 °C (39. 9 °F; 277. 5 K)
NFPA 704 (fire diamond)3 2 3
AppearanceYellowish white cotton-like filaments
LD50 (median dose)10 mg/kg (mouse, IV)
Date of Reg.
Date of Upd.
ID2337451
Send edit request

About Nitrocellulose


Nitrocellulose is a highly flammable compound formed by nitrating cellulose through exposure to nitric acid or another powerful nitrating agent. When used as a propellant or low-order explosive, it was originally known as guncotton.

Nitrocellulose Photos

Related Persons

Next Profile ❯