Myrcene photograph

Myrcene

Use attributes for filter !
FormulaC10H16
Molar mass136. 23 g/mol
Density794 kg/m³
ChemSpider ID28993
Boiling point166 to 168 °C (331 to 334 °F; 439 to 441 K)
ClassificationHydrocarbon
Date of Reg.
Date of Upd.
ID1130297
Send edit request

About Myrcene


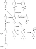
Myrcene, or β-myrcene, is an olefinic natural organic hydrocarbon. It is more precisely classified as a monoterpene. Monoterpenes are dimers of isoprenoid precursors, and myrcene is a significant component of the essential oil of several plants, including bay, cannabis, and hops.

Myrcene Photos

Related Persons

Next Profile ❯