Methyl diethanolamine photograph

Methyl Diethanolamine

Use attributes for filter !
Molar mass119. 163 g/mol
Density1. 04 g/cm³
FormulaCH3N(C2H4OH)2
Boiling point247 °C
Melting point-21 °C
Refractive index (nD)1. 4694
Date of Reg.
Date of Upd.
ID2395375
Send edit request

About Methyl Diethanolamine


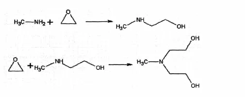
Methyl diethanolamine, also known as N-methyl diethanolamine and more commonly as MDEA, is the organic compound with the formula CH₃N(C₂H₄OH)₂. It is a colorless liquid with an ammonia odor. It is miscible with water, ethanol and benzene.

Methyl diethanolamine Photos

Related Persons

Next Profile ❯