Mathematical induction photograph

Mathematical Induction

Use attributes for filter !
Date of Reg.
Date of Upd.
ID2041614
Send edit request

About Mathematical Induction


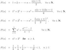
Mathematical induction is a mathematical proof technique. It is essentially used to prove that a property P holds for every natural number n, i. e. for n = 0, 1, 2, 3, and so on.

Mathematical induction Photos

Related Persons

Next Profile ❯