Malachite Green
| Use attributes for filter ! | |
| Formula | C23H25N2 |
|---|---|
| Molar mass | 364. 911 g/mol |
| 364.911 g/mol | |
| Main hazards | Moderately toxic, Extreme irritant |
| Classification | Organic compound |
| LD50 (median dose) | 80mg/kg (oral, mouse) |
| ATCvet code | QP53AX16 (WHO) |
| Main hazard | Moderately toxic, Extreme irritant |
| Hazard statement | H302, H318, H361d, H410 |
| Precautionari statement | P264, P270, P280, P301+P312, P305+P351+P338, P310, P330, P501 |
| 3d model jsmol | Interactive image |
| Comptox dashboard epa | DTXSID1025512 |
| Okra answer panel ph range | Ph range |
| Okra answer panel absorbance | Absorbance |
| Okra answer panel commercial uses | Commercial uses |
| Okra answer panel extinction coefficient | Extinction coefficient |
| Date of Reg. | |
| Date of Upd. | |
| ID | 1158526 |
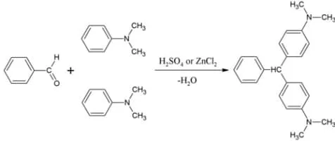
About Malachite Green
Malachite green is an organic compound that is used as a dyestuff and controversially as an antimicrobial in aquaculture. Malachite green is traditionally used as a dye for materials such as silk, leather, and paper.