Maitotoxin photograph

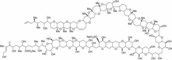
Maitotoxin

Use attributes for filter !
FormulaC164H256O68S2Na2
Molar mass3,422 g/mol
ChemSpider ID25991548
PubChem CID71460273
Date of Reg.
Date of Upd.
ID2437098
Send edit request

About Maitotoxin


Maitotoxin is an extremely potent toxin produced by Gambierdiscus toxicus, a dinoflagellate species. Maitotoxin is so potent that it has been demonstrated that an intraperitoneal injection of 130 ng/kg was lethal in mice.

Maitotoxin Photos

Related Persons

Next Profile ❯