Lauric acid photograph

Lauric Acid

Use attributes for filter !
Melting point43. 2 °C
FormulaC12H24O2
Molar mass200. 3178 g/mol
Boiling point298. 9 °C
Density880 kg/m³
ChemSpider ID3756
Date of Reg.
Date of Upd.
ID1130128
Send edit request

About Lauric Acid


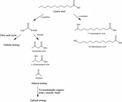
Lauric acid or systematically, dodecanoic acid, is a saturated fatty acid with a 12-carbon atom chain, thus having many properties of medium-chain fatty acids, is a bright white, powdery solid with a faint odor of bay oil or soap. The salts and esters of lauric acid are known as laurates.

Lauric acid Photos

Related Persons

Next Profile ❯