Isophorone diisocyanate photograph

Isophorone Diisocyanate

Use attributes for filter !
Molar mass222. 3 g/mol
FormulaC12H18N2O2
Density1. 06 g/cm³
Boiling point158 °C
Melting point-60 °C
Classification Organic compound
Date of Reg.
Date of Upd.
ID2275904
Send edit request

About Isophorone Diisocyanate


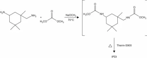
Isophorone diisocyanate is an organic compound in the class known as isocyanates. More specifically, it is an aliphatic diisocyanate. It is produced in relatively small quantities, accounting for only 3. 4% of the global diisocyanate market in the year 2000.

Isophorone diisocyanate Photos

Related Persons

Next Profile ❯