Inverse trigonometric functions photograph

Inverse Trigonometric Functions

Use attributes for filter !
Date of Reg.
Date of Upd.
ID1171297
Send edit request

About Inverse Trigonometric Functions


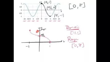
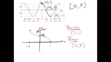
In mathematics, the inverse trigonometric functions are the inverse functions of the trigonometric functions. Specifically, they are the inverses of the sine, cosine, tangent, cotangent, secant, and cosecant functions, and are used to obtain an angle from any of the angle's trigonometric ratios.

Inverse trigonometric functions Photos

Related Persons

Next Profile ❯