Hydroxamic acid photograph

Hydroxamic Acid

Use attributes for filter !
Date of Reg.
Date of Upd.
ID2204102
Send edit request

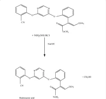
About Hydroxamic Acid


A hydroxamic acid is a class of organic compounds bearing the functional group RCNR', with R and R' as organic residues and CO as a carbonyl group. They are amides wherein the NH center has an OH substitution. They are often used as metal chelators.

Hydroxamic acid Photos

Related Persons

Next Profile ❯