Fumonisin B1 photograph

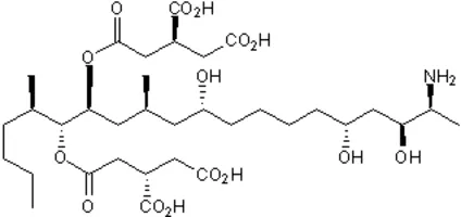
Fumonisin B1

Use attributes for filter !
Molar mass721. 83 g/mol
FormulaC34H59NO15
ChemSpider ID56109
AppearanceWhite to off-white powder
PubChem CID62314
Date of Reg.
Date of Upd.
ID1130238
Send edit request

About Fumonisin B1


Fumonisin B₁ is the most prevalent member of a family of toxins, known as fumonisins, produced by several species of Fusarium molds, such as Fusarium verticillioides, which occur mainly in maize, wheat and other cereals. Fumonisin B1 contamination of maize has been reported worldwide at mg/kg levels.

Fumonisin B1 Photos

Related Persons

Next Profile ❯